





Mô tả chi tiết:
Rulo con lăn nam châm từ tách sắt (còn gọi là Rulo nam châm, trống từ) là thiết bị dùng trong hệ thống băng tải, có chức năng tự động tách và loại bỏ các tạp chất kim loại sắt (Fe) lẫn trong nguyên liệu dạng rời như hạt, bột, cát, than, quặng,... Sản phẩm được tích hợp nam châm vĩnh cửu siêu mạnh bên trong trục con lăn, hoạt động liên tục và không cần dùng điện.
Cấu tạo sản phẩm:
-
Thân rulo: Là một trục tròn dạng con lăn được gia công từ thép không gỉ hoặc thép cacbon mạ.
-
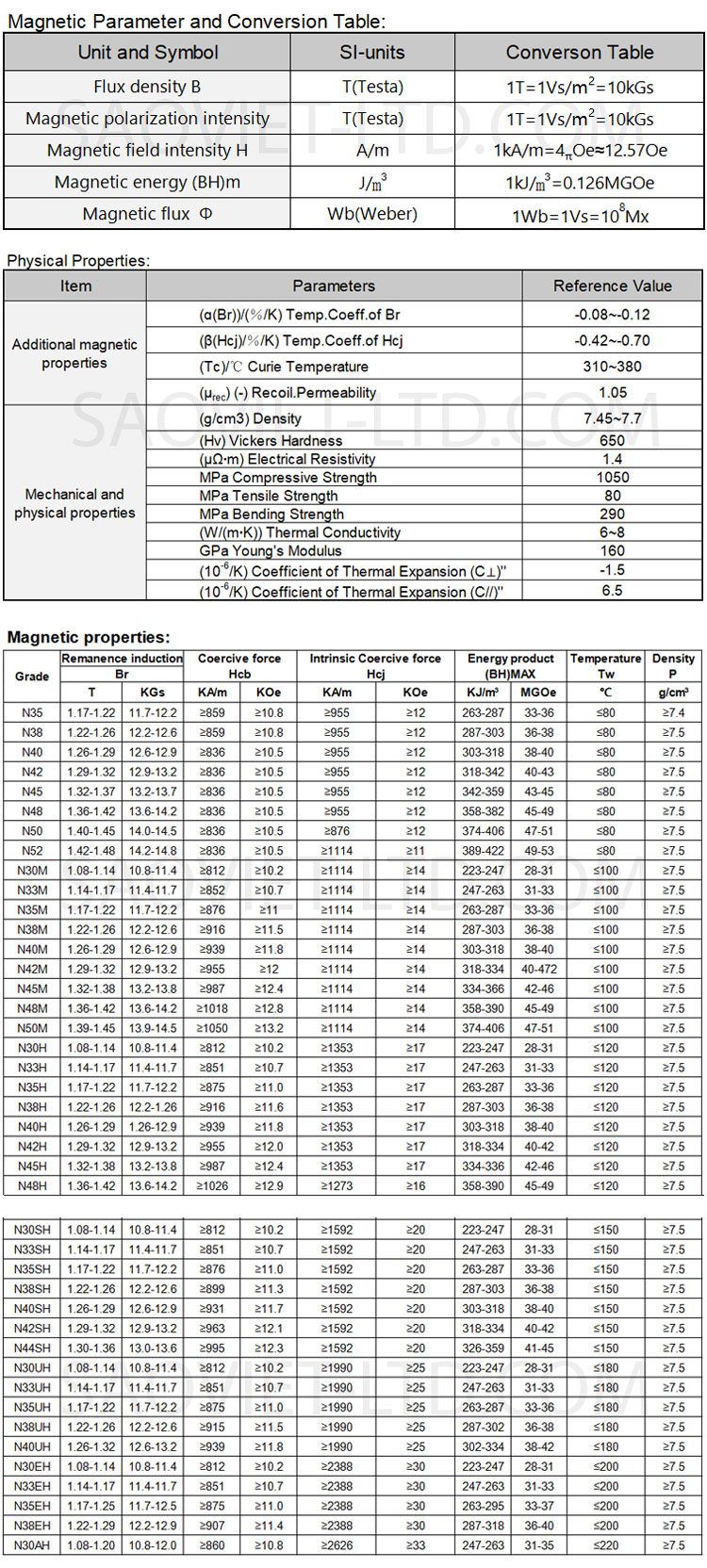
Lõi nam châm: Sử dụng nam châm Neodymium (NdFeB) hoặc Ferrite, từ tính mạnh, sắp xếp theo dạng vòm hình quạt để tạo vùng từ trường mạnh bao quanh.
-
Trục quay: Gắn trực tiếp vào cuối băng tải, hoạt động như một con lăn kéo, vừa vận chuyển vừa lọc sắt.
-
Kích thước: Đường kính và chiều dài rulo được gia công theo yêu cầu hệ thống băng tải.
-
Cách hoạt động:
-
Khi nguyên liệu đi qua rulo, mạt sắt sẽ bị hút bám vào bề mặt rulo.
-
Vòng quay đưa sắt đến khu vực không có từ tính để tự động tách rơi xuống máng thu riêng biệt.
-
Ứng dụng:
-
Ngành khai khoáng: Tách sắt khỏi than, quặng, cát, đá nghiền.
-
Ngành chế biến thực phẩm: Lọc mạt sắt trong gạo, tiêu, bột, đậu, hạt,...
-
Ngành tái chế nhựa, giấy, rác: Tách kim loại sắt khỏi vật liệu không từ tính.
-
Ngành xi măng, gạch men, phân bón: Lọc vụn sắt khỏi nguyên liệu đầu vào.
-
Dùng trong dây chuyền sản xuất tự động, hệ thống băng tải công nghiệp.
Ưu điểm nổi bật:
-
Tự động tách sắt liên tục, không cần thao tác bằng tay.
-
Hiệu suất cao, phù hợp hệ thống vận hành lớn.
-
Không tiêu thụ điện năng, hoạt động ổn định, tuổi thọ cao.
-
Làm sạch nhanh, hiệu quả, chỉ cần vệ sinh định kỳ.
-
Gia công theo kích thước băng tải, dễ dàng tích hợp vào dây chuyền sẵn có.